University of Maryland
Sociology 699F: Gender & Social Change 

Batalova and Cohen, 2002

Batalova, Jeanne A. and Philip N. Cohen. 2002. "Premarital Cohabitation and Housework: Couples in Cross-National Perspective." Journal of Marriage and Family 64 (August): 743-755. pdf file

Conclusion (2)

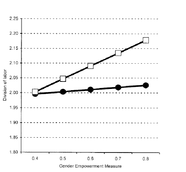
Couple cohabitation -> equal division of hh labor only for gender equal countries

equivalently: National gender equality leads to more equal division of hh labor only for formerly cohabiting couples.
Figure 2 Plot



return to: Batalova & Cohen
main page
Sociology 699F
home page
Sociology 699F
schedule
Sociology 699F
readings

Last updated February 21, 2003
comments to: Reeve Vanneman. reeve@cwmills.umd.edu